間苯二甲酸二甲酯-5-磺酸鈉( 簡稱 SIPM) 主要 用于滌綸、膠片等方面,其中滌綸是主要的應用領 域,主要作為改性陽離子可染聚酯( 簡稱 CDP) 的第 三單體。由于 CDP 纖維中含有磺酸基,所以對陽 離子染料具有良好的親合性能,在滌綸聚合過程中 加入 SIPM 進行化學改性滌綸產品,其制成的織物 可以用陽離子染料染色,并可以常壓沸染,上色率 高,其染色的纖維色澤鮮艷,色譜齊全,著色性好,并 可深染。同時,降低了成本,減少污染。改性的 纖維具有毛型感,易于羊毛混紡,適用于冬季男女服 裝的面料。西方發達國家生產的陽離子改性滌綸占 總產量的 15% 以上。如果按此數據計算我國目前 切片生產能力超過 800 萬噸,生產 120 萬噸陽離子可染切片將年需求 30000 噸/年以上的 SIPM,加上 其他如 ECDP 和海島纖維的開發需要更多的三單體 和四單體供給,SIPM 國內需求量將接近 50000 噸/ 年。目前,國內所需的高質量的三單體 50% 以上為 進口產品。開發研制 SIPM 合成技術并實施工業 化,能為國家節約大量外匯,同時也有利于國內聚酯 纖維行業的健康發展,符合國家紡織工業的要求,符 合國家的產業政策。
電子天平( JT-N 系列) ( 上海精天電子儀器有限 公司) ; DF-101D 集熱式恒溫加熱磁力攪拌器( 河南 省予華儀器有限公司) ; D 型電動攪拌機調速器( 杭 州儀表電機有限公司) ; TDL-60B 低速離心機( 上海 安亭科學儀器廠) ; SHZ-D( III) 循環水式真空泵( 鞏 義市予華儀器有限公司) ; KQ-B 玻璃儀器氣流烘干 器( 鞏義市予華儀器有限公司) ; DHG-9246A 型電熱恒溫鼓風干燥箱( 上海精宏實驗設備有限公司) ; 傅 里葉變換紅外光譜儀( 型號為 IR Prestige 21) ( 日本 島津公司生產) ; 間苯二甲酸: 純度 99. 5 % ,日本進 口; w( SO3 ) = 65% 發煙硫酸∶ 分析純,上海振興二 廠; 甲醇∶ 分析純; 硫酸鎘; 二氧化硅; 硫酸汞; 無水 硫酸鈉; 碳酸鈉∶ 分析純。


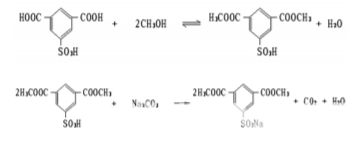
運用正交設計,將 w( SO3 ) = 65% 的發煙硫酸 一次性加入三口瓶,攪拌狀態下加入間苯二甲酸用 量的 20% ~ 30% ,在 20 ~ 30 min 內將物料溫度提高 到 115 ~ 125 ℃,再將剩余的間苯二甲酸全部加入三 口瓶,并加入少量的無水硫酸鈉。然后分以下三個溫度區間進行: 將物料溫度升高至 130 ~ 150 ℃ 時,加入硫酸鎘,保溫反應 40 ~ 70 min,然后在 30 ~ 45 min 內物料溫度升高至 160 ~ 169 ℃,先保溫反應 20 ~ 30 min,加入 SiO2,再保溫反應 50 ~ 80 min; 最 后在 20 ~ 50 min 內將物料溫度升高至 170 ~ 180 ℃,先保溫反應 30 ~ 40 min,加入硫酸汞,保溫反應 50 ~ 80 min。反應時加料質量比例為間苯二甲酸∶ 發煙硫酸∶ 硫酸鎘∶ SiO2 ∶ 硫酸汞∶ 無水硫酸鈉 = 1 ∶ 0. 900 ~ 0. 891 ∶ 0. 0003 ~ 0. 001 ∶ 0. 0005 ~ 0. 0012∶ 0. 0005 ~ 0. 0015 ∶ 0. 001 ~ 0. 01。將磺化 反應后的物料在 1. 5 ~ 2 h 內降溫至 110℃ 以下,加 入甲醇用量的 20% ~ 30% ,待釜溫降至 85 ℃ 以下 后加入剩余的甲醇。在溫度 66 ~ 76 ℃ 酯化反應 2 ~ 4 h,酯化反應時甲醇的加料質量比為間苯二甲 酸∶ 甲醇 = 1∶ 1. 05 ~ 1. 1,酯化反應后的物料加水 溶解,水的加料質量比為間苯二甲酸∶ 水 = 1∶ 5. 35 ~ 5. 65,降溫至 25℃ 以下,在 25 ℃ 左右加堿調節 pH 值為 6. 5 ~ 7. 5,繼續攪拌 80 ~ 120 min,然后離 心脫水、溶解脫色、過濾、結晶提純和烘干,得到產 品。其中,離心脫水脫出的離心母液可作為酯化反 應后的溶解劑,加料質量比為間苯二甲酸∶ 離心母 液 = 1∶ 5. 35 ~ 5. 65。進行差熱分析,紅外,紫外,檢 測所得產品的結構。正交設計如下。

綜合分析磺化、酯化、中和各步反應的影響因 素,反應最佳條件為: IPA∶ 發煙硫酸為 1∶ 1; 甲醇 為 1∶ 1. 1; 加二氧化硅時溫度為 165 ℃ ; 加硫酸鎘 時溫度為 130 ℃ ; 酯化溫度為 66 ℃ ; IPA: 酯化時間 為 4 h; 磺化時加硫酸鎘后的保溫時間為 40 min; 加 入硫酸汞后的保溫時間為 50 min; 加入 SiO2 后升溫 至 170 ℃,升溫前的保溫時間為 50 min。以 w( SO3 ) = 65% 發煙硫酸制備 SIPM,反應條件易于控制,中 和耗堿量少,環境污染小,后處理簡單,具有較好的 工業化前景。